Skip to main content

Aide et soutien aux moniteurs - exploitants de manèges

Promotion permanente d’une équitation de qualité

Espace de rencontre entre les professionnels

Des entrées gratuites à de grandes manifestations sportives

Des journées de formation offertes à nos membres


 

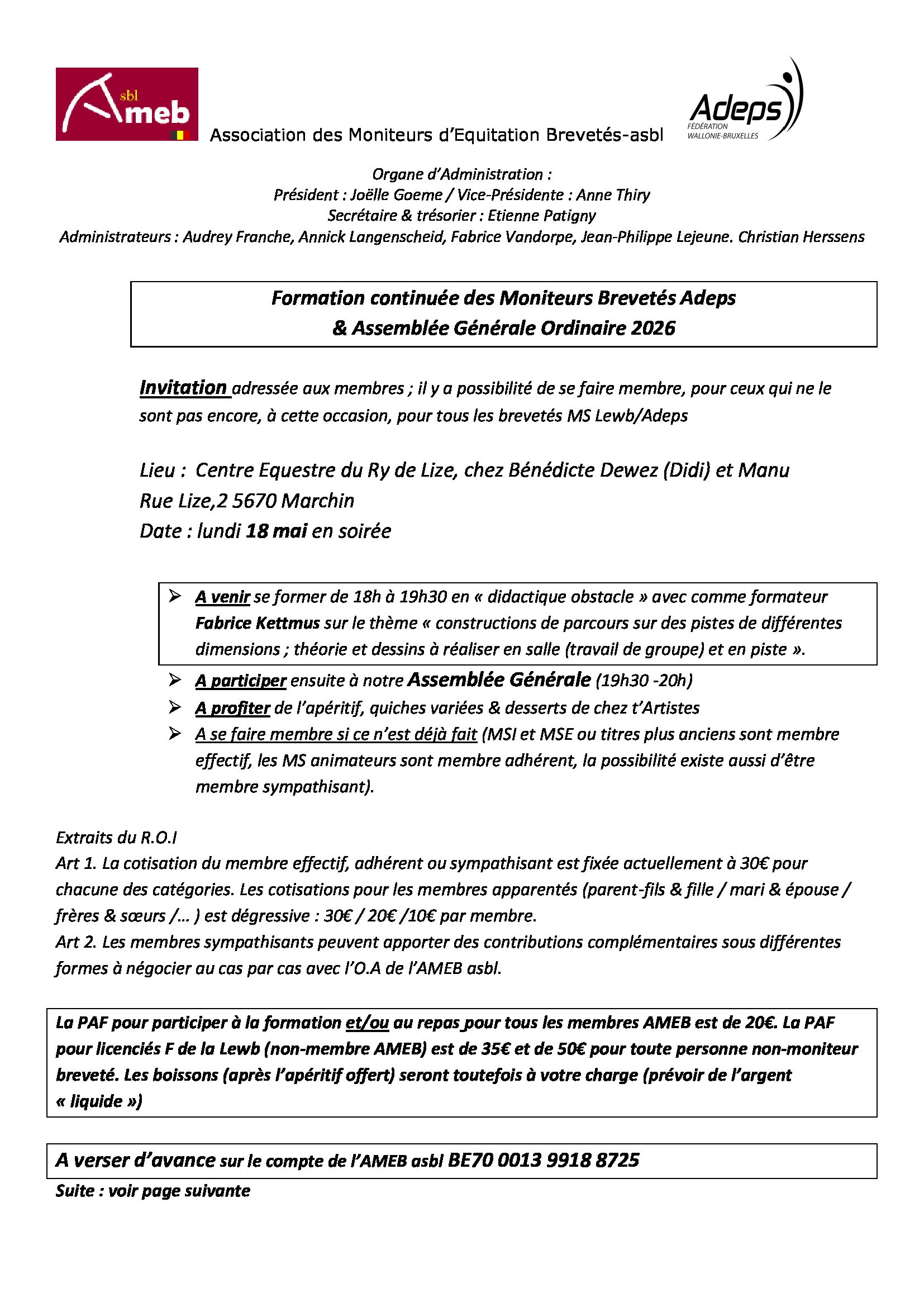
Invitation à se faire membre de l'Association des Moniteurs d'Equitation Brevetés asbl


Vous êtes Moniteur Sportif Animateur-Initiateur-Educateur ou breveté Adeps avec une appellation précédente ? Merci à chacun d'entre vous pour votre dévouement, votre passion et votre contribution à l'excellence dans l'enseignement de l'équitation !

Rejoignez-nous en versant votre cotisation annuelle (30€)

Vous souhaitez soutenir les moniteurs brevetés Adeps et notre association … alors devenez membre sympathisant pour une cotisation annuelle de 30€. Vous pouvez aussi apporter une contribution complémentaire pour obtenir plus d’avantages : publicité sur notre site ou sur la page Facebook par exemple (à négocier au cas par cas).

L’organe d’administration est constitué de 8 moniteurs professionnels expérimentés dans les différents secteurs et disciplines équestres. Ils sont au service des autres moniteurs et de l’équitation au sens large.

  • Présidente : Joëlle Goeme
  • Vice-Présidente : Anne Thiry
  • Secrétaire & trésorier : Etienne Patigny
  • Administrateurs : Audrey Franche, Annick Langenscheid, Fabrice Van Dorpe, Jean-Philippe Lejeune, Christian Herssens

L’AMEB asbl est une association indépendante, elle collabore étroitement avec la LEWB et l’Adeps, responsables de la formation des cadres sportifs. Nous sommes ouverts à tout autre soutien que pourraient offrir ceux qui sont sensibles à nos causes. Vous trouvez important de défendre et promouvoir la pratique et l’enseignement dans les différents secteurs des sports équestres ? Une équitation de qualité pour tous, comprenant poneys ou chevaux, cavaliers de loisir ou de compétition, débutants ou confirmés ? Vous souhaitez aussi que votre brevet soit valorisé ? Vous souhaitez poursuivre votre formation et pouvoir participer gratuitement ou à prix réduit à nos formations continuées dont certaines sont reconnues et subventionnées par la LEWB via l’Adeps ? Alors vous devriez sans tarder rejoindre l’AMEB asbl en versant votre cotisation 2025 : 30€ pour une personne ou, pour les personnes apparentées (parent - fils & fille / mari & épouse / frères & sœurs) : 50€ pour 2 moniteurs et 60€ pour 3. IBAN BE70 0013 9918 8725 de l’AMEB asbl Mentionnez en communication les nom et prénom sous lequel votre brevet a été délivré. Les Moniteurs Sportifs Animateurs doivent ajouter MS Ani en communication lors du versement Les moniteurs MSI, MSE et appellations antérieures sont membres effectifs ; les MS animateurs sont membres adhérents (voir statuts sur notre site). Nos moyens financiers (les cotisations) sont modestes mais riches de partages d’expériences sur le plan humain. Pour plus de détails concernant nos statuts, les avantages et les motivations à se faire membre, rendez-vous sur notre page Facebook. Vous pouvez nous contacter via Cette adresse e-mail est protégée contre les robots spammeurs. Vous devez activer le JavaScript pour la visualiser. et consulter notre site www.ameb.be


                Rejoins l'équipe !

   Envie de devenir membre et de profiter de tous nos avantages ?

           Rien de plus simple ...

 

Petites annonces

 

Tu cherches ou proposes un emploi en tant que moniteur / monitrice, groom, cavalier ou encore palefrenier ? C'est par ici !

Fiches membres


Vous êtes membre AMEB et souhaitez ajouter votre fiche individuelle à notre répertoire des membres ?
Cliquez sur le lien ci-dessous !




 

______________________________________________

Nouveaux statuts

Association des moniteurs d'équitation brevetés - AMEB asbl

N° d’entreprise 0864 266 238

Statuts  / dernière modification en 2023  / mise en conformité CSA

Titre I - DENOMINATION, SIEGE, BUT ET DUREE

Article 1 : Dénomination:

L'Association conserve la dénomination : Association des moniteurs d'équitation brevetés, en abrégé : AMEB  (ASBL)

Article 2 : Siège social

Son siège est établi en Région Wallonne, province de Namur à l'adresse suivante :

Rue du Haras, 16 à 5340 GESVES ; il pourra être déplacé sur simple décision de l'Organe d'administration

L'Association a pour adresse email : Cette adresse e-mail est protégée contre les robots spammeurs. Vous devez activer le JavaScript pour la visualiser.

Article 3 : But - objet social

L'Association a pour but social la défense et la promotion des intérêts professionnels de ses membres, tant auprès des institutions publiques que privées.  Dans cette perspective, elle pourra poser tous les actes utiles à la réalisation de son objet social ou qui pourraient y contribuer. Plus généralement, l'Association entend promouvoir l'enseignement de l'équitation sous toutes ses formes, à travers toutes ses disciplines et sous tous ses aspects.  L'Association peut notamment rechercher des subsides publics ou privés de nature à favoriser son objectif.  Elle peut poser tous les actes se rapportant directement ou indirectement à son objet.  Elle peut notamment prêter son concours et s'intéresser à toute activité similaire à son objet social.

Article 4 : Durée

L'Association est constituée pour une durée indéterminée . Elle peut être en tout temps dissoute.

Titre II - LES MEMBRES

Article 5 : Composition

L'Association est composée de membres effectifs, de membres adhérents, de membres sympathisants et de membres d'honneur.

   Art. 5 a : Membres effectifs

Sont membres effectifs et jouissent de la plénitude des droits sociaux , toutes les personnes dont la demande a été préalablement acceptée par l'Organe d'administration, qui sont en ordre de cotisation annuelle et qui peuvent justifier :

- soit d'un diplôme de moniteur d'équitation délivré par l'Administration de l'Education Physique et des sports (Adeps) , de niveau moniteur sportif initiateur, moniteur sportif éducateur, moniteur sportif entraîneur ou tout détenteur d'un diplôme Adeps portant une dénomination antérieure.

- soit d'un diplôme de moniteur d'équitation délivré par le Sport Vlaanderen, de niveau initiateur minimum

- ou qui sont titulaires d'un passeport IGEQ ( International Group for Equestrian Qualifications ) level 2 ou 3

Dans tous les cas, le nombre de membres effectifs doit être supérieur au nombre d'administrateurs, avec un minimum de quatre.

   Art. 5b : Membres adhérents

Sont membres adhérents, toutes les personnes dont la demande a été préalablement acceptée par l'Organe d'administration, qui sont  en ordre de cotisation annuelle et qui peuvent justifier :

- soit d'un diplôme de moniteur sportif animateur d'équitation délivré par l'Administration de l'Education Physique et des sports (Adeps)

-  soit d'un diplôme de moniteur d'équitation de niveau "Start to Coach" délivré par le Sport Vlaanderen

- ou qui sont titulaires d'un passeport IGEQ ( International Group for Equestrian Qualifications ) level 1

Les membres adhérents sont invités aux assemblées générales, sans droit de vote et ne peuvent  postuler à un  poste d'administrateur.

   Art. 5c : Membres sympathisants

Sont membres sympathisants, toutes les personnes dont la demande a été préalablement acceptée par l'Organe d'administration, qui sont en ordre de cotisation annuelle et qui ne peuvent justifier d'un diplôme de moniteur d'équitation, mais souhaitent soutenir l'association et/ou éventuellement bénéficier de certains avantages accordés aux autres catégories de membres.

Les membres sympathisants sont invités aux assemblées générales, sans droit de vote et ne peuvent postuler à un poste d'administrateur.

   Art. 5d : Membres d'honneur

Sont membres d'honneur, toutes les personnes nommées par  l'Organe d'administration à ce titre au vu de leurs exploits sportifs et/ou de leur reconnaissance en tant que sommités équestres.

Le(s) membre(s) d'honneur qui n'est (ne sont) détenteur(s) d'aucun diplôme de moniteur d'équitation n'est (ne sont) pas reconnu(s) comme membre(s) effectif(s) ou adhérent(s).

Article 6 : Démission et exclusion de membres

 Les membres sont libres de se retirer à tout moment  de l'Association  en adressant  par écrit  leur  démission à l'Organe d'administration . Est  réputé  démissionnaire, le membre qui ne paie pas la cotisation qui lui incombe, dans le mois du rappel qui lui est adressé par lettre recommandée à la poste. L'exclusion d'un membre effectif   ne  peut  être  prononcée  que  par l'Assemblée générale réunie et se décidant selon les dispositions légales applicables. L'Organe d'administration peut suspendre jusqu'à décision de l'Assemblée générale les membres effectifs qui se seraient rendus coupables d'infractions graves à la loi, aux statuts ou aux règles de l'honneur et de la bienséance. L'exclusion d'un membre autre qu'effectif peut être prononcée par l'Organe d'administration.

Article 7 : Droits des membres démissionnaires ou exclus

Le membre démissionnaire ou exclu, et les ayants droit d'un membre démissionnaire, exclu ou défunt, n'ont aucun droit à faire valoir sur l'avoir social.

Article 8 : Montant des cotisations

Le montant des cotisations réclamées annuellement est fixé par l'Organe d'administration et ne pourra excéder 1.000,00 €. Pour les membres d'honneur, l'affiliation est laissée à leur libre choix.

Article 9 : Registre des membres

L'Organe d'administration tient au siège social un registre des membres qui peut être tenu de manière électronique.

TITRE III - POUVOIRS ET MODE DE CONVOCATION DE L'ASSEMBLEE GENERALE

Article 10 : Convocation

Les membres effectifs sont convoqués aux Assemblées générales par l'Organe d'administration. Celui-ci est tenu de convoquer une Assemblée générale si un cinquième des membres effectifs en fait la demande. Les convocations sont faites par simple lettre missive et/ou par mail, adressé(e) quinze jours au moins avant la réunion de l'Assemblée.

Article 11 : Ordre du jour

 Les convocations aux Assemblées générales contiennent l'ordre du jour. Toute proposition signée par un vingtième des membres effectifs doit être portée à l'ordre du jour. L'Assemblée ne peut valablement délibérer que sur les points indiqués à l'ordre du jour.

Article 12 : Quorum de présence et  de vote

 Tout membre effectif a le droit d'assister à l'Assemblée générale ; il peut se faire représenter par un autre membre effectif, sans que celui-ci ne soit porteur de plus d'une procuration. Sauf si la loi en dispose autrement, l'Assemblée générale est valablement constituée quel que soit le nombre de membres présents ou représentés.Tous les membres effectifs ont un droit de vote égal à l'Assemblée générale et disposent d'une voix. Les résolutions sont prises à la majorité simple des voix présentes ou représentées, sauf dans les cas où il en est décidé autrement par la loi ou par les présents statuts. Les votes blancs, nuls et les abstentions ne sont pas pris en compte pour le calcul de la majorité requise.

Article 13 : Pouvoirs

L'Assemblée générale possède les pouvoirs qui lui sont expressément reconnus par la loi ou par les présents statuts, conformément aux dispositions du nouveau Code des Sociétés et  Associations en vigueur depuis le 1er mai 2019.

Article 14 : Registre des procès-verbaux

Les décisions de l'Assemblée générale sont consignées dans un registre de procès­verbaux signés au moins par le président et un administrateur. Ce registre est conservé au siège social où tous les membres effectifs ou les tiers justifiant d'un intérêt légitime peuvent en prendre connaissance et en recevoir copie mais sans déplacement.

TITRE IV - L'ORGANE D'ADMINISTRATION

Article 15 : Composition et quorum de présence

L'association est administrée  par un Organe d'administration composé de trois administrateurs au moins et huit administrateurs au plus, nommés et révocables  par l'Assemblée générale et choisis parmi les membres  effectifs de l'association. L'Organe d'administration délibère valablement dès que la moitié de ses membres  est présente sans toutefois que ce nombre puisse être inférieur à deux. Un administrateur peut se faire représenter par un autre administrateur, sans que celui-ci ne puisse être porteur de plus d'une procuration.

Article 16 : Durée du mandat d'administrateur

Le mandat des administrateurs est prévu pour une durée de quatre années. Leur mandat vient donc à échéance au terme de l'Assemblée générale ordinaire de la quatrième année suivant l'année de leur élection ; les administrateurs sont rééligibles. Le mandat des administrateurs n'expire que par l'échéance du terme, décès, démission ou révocation.

Article 17 : Fonctionnement

L'Organe d'administration désigne parmi ses membres un président, éventuellement un vice-président, un trésorier et un secrétaire.  En cas d'empêchement du président, ses fonctions sont assurées par le vice-président ou par le plus âgé des administrateurs présents.

Article 18 : Quorum de vote

Les décisions de l'Organe d'administration sont prises à la majorité simple des voix émises par les administrateurs présents ou représentés ; en cas d'égalité, la voix du président ou à défaut, de l'administrateur le plus âgé est prépondérante. Les décisions sont consignées dans un registre tenu au siège de l'association.

 Article 19 : Pouvoirs

L'Organe d'administration a les pouvoirs les plus étendus pour l'administration et la gestion de l'Association. Il  représente l'Association dans tous les actes judiciaires et extrajudiciaires. Tous les pouvoirs qui ne sont pas expressément réservés par la loi à l'Assemblée générale sont de la compétence de l'Organe d'administration.

Article 20 : Gestion journalière

L'Organe d'administration peut, sous sa responsabilité, déléguer la gestion journalière de l'association à l'un de ses membres qui l'exercera individuellement.

Article 21 : Représentation générale de l'Association

Les actes qui engagent l'Association, autres que ceux de gestion journalière, sont signés par deux administrateurs.

Article 22 : Responsabilité des administrateurs

Les administrateurs ne contractent, en raison de leur fonction, aucune obligation personnelle et ne sont responsables que de l'exécution de leur mandat. Celui-ci est exercé à titre gratuit.

Article 23 : Composition de l'Organe d'administration

A la date du 05.06.2023  l'Organe d'administration est composé de :

  • Goëmé Joëlle, Présidente, rue des Genêts 16 à 4052 Beaufays NN : 63 06 03 044-67,
  • Anne Thiry, Vice-Présidente, chemin de la Papelotte 41 à 1410 Waterloo, NN : 62 12 08 200-73                               
  • Verboomen Dominique, Trésorier, rue de Tyberchamps 17 à 7180 Seneffe, NN : 51 05 23 343-73                               
  • Patigny Etienne , Secrétaire, route de Givet 21 à    4560 Clavier, NN : 54 04 13 311-73
  • Vandorpe Fabrice, Administrateur, rue Donveau 15 à 5621 Hanzinelle, NN 64 06 26 47-138    
  • Langenscheid Annick,Administrateur,rue du Forbot de Jannée 15 A à 5590 Pessoux, NN 73 06 06 100-34
  • Franche Audrey, Administrateur, Briscol 18 à 6997 Erezée, NN 81 06 16 210-83
  • Lejeune Jean-Philippe, Administrateur, rue de la Résistance 186 à 4041 Milmort, NN 76 05 17 281-64

TITRE V. - DISPOSITIONS DIVERSES

Article 24. -

L'exercice social commence le 1° janvier pour se terminer le 31 décembre.

Article 25. -

Les comptes de l'exercice et le budget du prochain exercice seront annuellment soumis à l'approbation de l'Assemblée générale ordinaire qui se tiendra dans le courant du premier semestre de chaque année .

Article 26. -

En cas de dissolution de l'Association, l'Assemblée générale désignera le ou les liquidateurs, déterminera leurs pouvoirs et indiquera l'affectation obligatoirement désintéressée à donner à l'actif net de l'avoir social.

---------------------------------------------------------

Grande nouvelle !!!

Une nouvelle Présidente à l'Association des Moniteurs d'Equitation Brevetés (Adeps) ! Félicitations Madame.

L'organe d'administration de l'AMEB asbl se réunissait ce 25 octobre 2021 à la demande de son Président Dominique Verboomen. Un des buts de cette réunion était de revoir les rôles au sein du conseil. Les attributions sont maintenant les suivantes :

  • Présidente : Joëlle Goeme
  • Vice-Présidente : Anne Thiry
  • Trésorier : Dominique Verboomen
  • Secrétaire Général : Etienne Patigny
  • Administrateurs : Audrey Franche, élue cette année durant L'Assemblée Générale du 6 septembre/ Annick Langenscheid, Alain Assendonck, Fabrice Vandorpe.

Bravo Joëlle et, au nom de tous les membres, merci beaucoup Dominique pour ton dévouement et les services rendus.

---------------------------------------------------------

Moniteurs brevetés 2022

Vous êtes à la recherche d'un nouveau moniteur /animateur breveté et formé dans sa spécialisation ?

Ne ratez pas notre nouvelle liste des moniteurs AMEB 2022 ! 

---------------------------------------------------------

Nouvelle documentation

L'éducation du cheval de selle
Luc Pirick

---------------------------------------------------------